preskoči na sadržaj

Osnovna škola Vođinci

 > Naslovnica
 

Vijesti

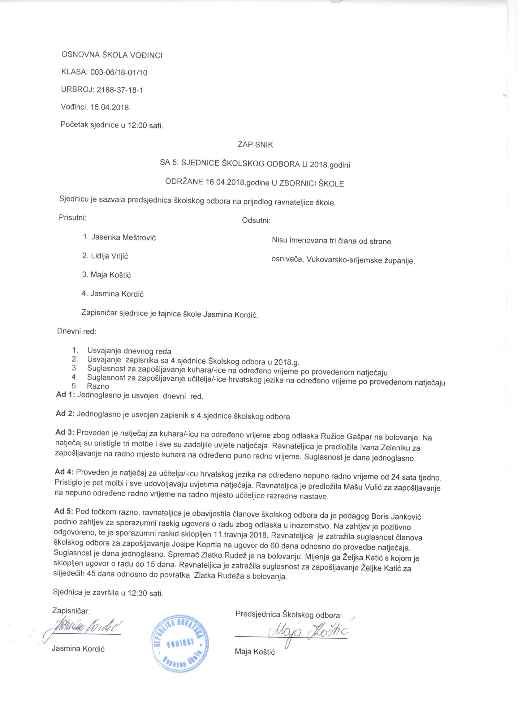
Zapisnik sa 5. sjednice Školskog odbora

Autor: Jasmina Kordić, 27. 4. 2018.




Tražilica
Na današnji dan...
Dokumenti
Dokumenti za prikaz

Priloženi dokumenti:
Financijski izvjestaj 1-6 2025.xlsx

 

Anketa
Sviđa li vam se ova stranica?





Korisni linkovi
Brojač posjeta
Ispis statistike od 2. 9. 2013.

Ukupno: 966909
Ovaj mjesec: 2451
Ovaj tjedan: 220
Danas: 132
CMS za škole logo
Osnovna škola Vođinci / Slavonska 21, HR-32283 Vođinci / www.os-vodjinci.skole.hr / ured@os-vodjinci.skole.hr
preskoči na navigaciju